R07年度 測量士補試験 No26(応用:路線) 解答
- PR -



<No26:応用(路線):解答>

 単曲線の路線長を求める計算問題である。IPが設置できないため次のように解けばよい。

① 図より交角 I を求める。


三角形C-E-Dにおいて、∠C=180°-95°=85°、∠D=180°-145°=35°、
           ∠E=180°-(85°+35°)=60°
よって、交角I=180°-60°=120°

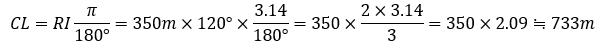
② CL(曲線長)を求める



※CLの公式を使用しない場合

  中心角=交角であるため、


よって、最も近い値は3.となる。

解答: 3

参考文献:測量作業規程の準則・測量関係法令集

http://www.kinomise.com/sokuryo/ 測量士・測量士補 試験対策WEB  c Matsubara.P.O