R07年度 測量士補試験 No12(水準測量) 解答
- PR -



<No12:水準測量:解答>

 標尺補正に関する計算問題である。次のような手順で解答すればよい。

標尺補正量の計算

標尺補正量(⊿C)は次式により表される。



⊿C:基準温度における標尺改正数
T :観測時の測定温度
T0 :基準温度
α :膨張係数
⊿h:高低差

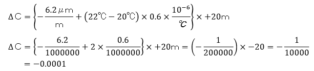
これに問題の数値を入れると次のようになる。



観測高低差の計算
※観測高低差はその絶対値に対して計算を行う必要がある。



 よって、選択肢の中で最も近い値は2.となる。

解答: 2

参考文献:測量作業規程の準則・測量関係法令集

http://www.kinomise.com/sokuryo/ 測量士・測量士補 試験対策WEB  c Matsubara.P.O